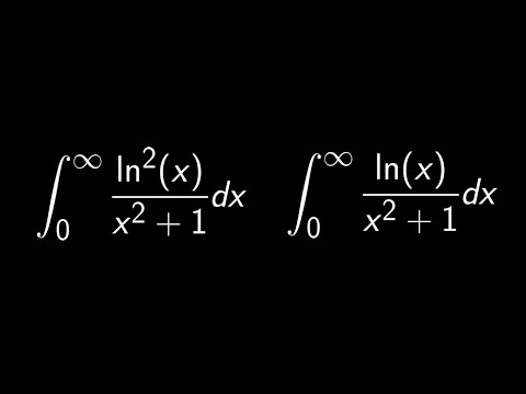
This video covers #ComplexIntegration of a natural logarithm using #BranchCuts to convert the natural log from a multiple-valued function to a single-valued function. This integration involved using an elaborately constructed contour, the #ResidueTheorem, and the ML inequality (link: to arrive at the final answer. Questions/requests? Let me know in the comments! Pre-reqs: Every video before this one in my #ComplexVariables playlist, especially the video on Branch Points and Branch Cuts right before this: Lecture Notes: Patreon: Twitter: Special thanks to my Patrons: Cesar Garza Daigo Saito Alvin Barnabas Damjan Yenyo Pal Lisa Bouchard Patapom Gabriel Sommer Eugene Bulkin Adam Pesl Yiu Chong René Gastelumendi EDIT: Note that at 9:00, there should be a less than or equal to sign, since the modulus of the integral is less than or equal to the integral of the modulus. Thanks to some of the commenters below for pointing that out!











