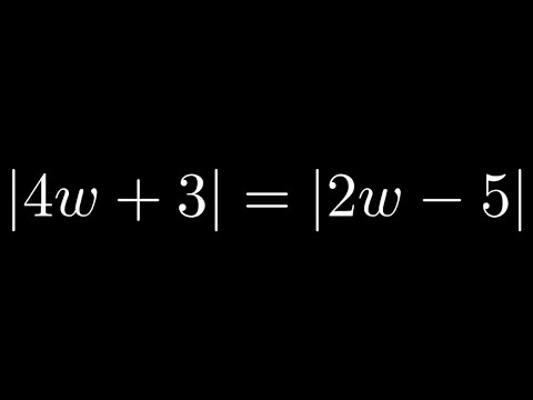
Welcome to Absolute Value Equations with Variables on Both Sides with Mr. J! Need help with how to solve absolute value equations with variables on both sides? You're in the right place! Whether you're just starting out, or need a quick refresher, this is the video for you if you're looking for help with solving absolute value equations with variables on both sides. Mr. J will go through an example of an absolute value equation with variables on both sides and explain how to solve it step-by-step. ✅ More Videos Related to this Topic: - An Intro to Solving Absolute Value Equations = - Solving Absolute Value Equations (Numbers on the Outside) = - Absolute Value Equations with No Solution = - Absolute Value Equations with One Solution = - Absolute Value Equations with Variables on Both Sides = - Absolute Value Equations with Absolute Values on Both Sides = COMING SOON About Math with Mr. J: This channel offers instructional videos that are directly aligned with math standards. Teachers, parents/guardians, and students from around the world have used this channel to help with math content in many different ways. All material is absolutely free. #MathWithMrJ Click Here to Subscribe to the Greatest Math Channel On Earth: Follow Mr. J on Twitter: @MrJMath5 Email: @ Music: Hopefully this video is what you're looking for when it comes to solving absolute value equations with variables on both sides. Have a great rest of your day and thanks again for watching! ✌️✌️✌️










