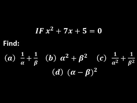
This algebra video tutorial explains how to find the sum and product of the roots of a quadratic equation. It contains plenty of examples and practice problems. Quadratic Equations - Free Formula Sheet: ______________________________________ How To Solve Simple Quadratic Equations: Solving Quadratic Equations By Factoring: How To Factor Difficult Quadratic Equations: Solving QE By Completing The Square: Solving Equations In Quadratic Form: Sum and Products - Quadratic Equations: _______________________________________ How To Calculate The Discriminant: Standard Form to Vertex Form: Graphing Quadratic Functions: How To Find The Axis of Symmetry: Graphing Quadratic Functions - Vertex Form: Graphing QF in Standard Form: ___________________________________________ Writing Quadratic Equations: Maximum and Minimum Word Problems: Systems of Quadratic Equations: Systems of Nonlinear Equations: Quadratic Inequalities: Quadratic Equations - Test Review: ___________________________________________ Final Exams and Video Playlists: Full-Length Videos and Worksheets:











