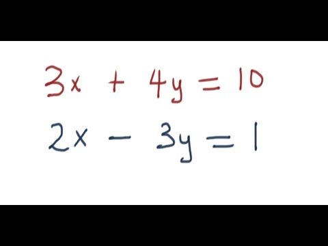
In this video we are going to explore how to apply the elimination method to solve a system of equations using a easy problem, a more difficult problem and a hard problem. ⭐️ Substitution VS Elimination System of Equations - ✅ System of Equations - Brian McLogan - 🔥 Solving a System of Equations Using Elimination and Multipliers - 👏SUBSCRIBE to my channel here: ❤️Support my channel by becoming a member: ***More Examples of System of Equations*** ✅ Solve a System of Equations by Graphing ✅ Solve a System of Equations Algebraically ✅ Solve a System of Inequalities by Graphing 🗂️ Organized videos by classes here: 🌐 My Website - 🎯Survive Math Class Checklist: Ten Steps to a Better Year: Connect with me: ⚡️Facebook - ⚡️Instagram - ⚡️Twitter - ⚡️Linkedin - 👨🏫 Current Courses on Udemy: #brianmclogan #math #systemofequations









