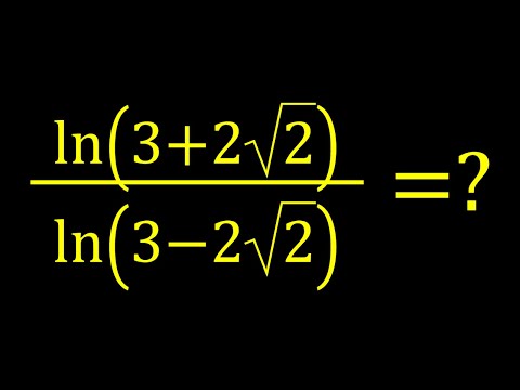
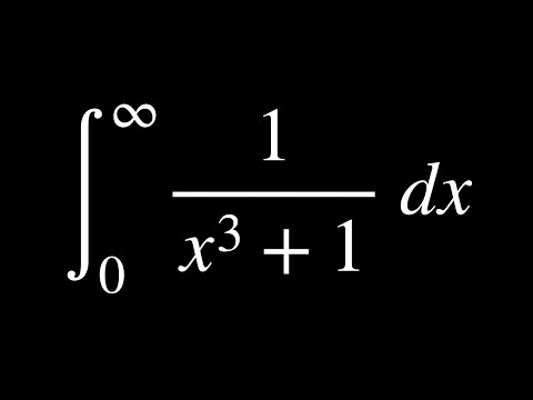
🤩 Hello everyone, I'm very excited to bring you a new channel (SyberMath Shorts) thank you for your support!!! 🧡🥰🎉🥳🧡 @SyberMathShorts ⭐ Join this channel to get access to perks:→ My merch → Follow me → Subscribe → Subscribe → (shorts) ⭐ Suggest → If you need to post a picture of your solution or idea: #ChallengingMathProblems #LogarithmicEquations #Logarithms via @YouTube @Apple @Desmos @NotabilityApp @googledocs @canva PLAYLISTS 🎵 : Number Theory Problems: Challenging Math Problems: Trigonometry Problems: Diophantine Equations and Systems: Calculus:











