Войти
Головна
Моніторінг сайтів
Порівняння текстів
QR Code геніратор
Дозвілля
Блоги
Аудіо Архів
Відео Архів
Статті Архів
ТВ Онлайн
Радіо Онлайн
Завантажити
Документація
Фото архів
Новини
33+
Для рекламодавців
Контакти
Відгуки
100209
Просмотров
9 лет назад
Опубликовано
Lawrence Leemis
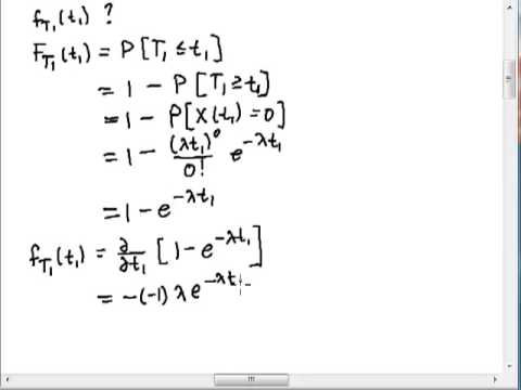
Poisson processes -- Example 1
Poisson processes -- Example 1
Похожее видео
What is a Poisson Process? 11 хвилин і 30 секунд
Binomial distributions | Probabilities of probabilities,…
Poisson Distribution - A Real Life Example 12 хвилин і 13 секунд
Poisson process time between arrivals 9 хвилин і 48 секунд
Poisson and Exponential Distributions Example 14 хвилин і 55 секунд
L22.2 Definition of the Poisson Process 5 хвилин і 7 секунд
Розподіл ймовірностей Пуассона…
Introduction to Poisson Process - Examples 6 хвилин і 59 секунд
Poisson Distribution EXPLAINED in UNDER 15 MINUTES! 14…
Вступ до розподілу Пуассона -…
Poisson Processes: Exponential Interarrivals Property 5…
Poisson process 1 | Probability and Statistics | Khan…
Популярное
Городской снайпер 2 серия
Грань правосудия
mickey mouse clubhouse
Classic caliou misbehaves onthe t
Самса
чаггингтон реклама
УЧЕНИК САНТЫ
красный тарантул
6серия
Not scary universal g major 4
Красная гадюка4
women bathe boys
Scar lion king face paint halloween makeup
les amis de boubi
сериал
потерянный снайпер 11»
Красная гадюка 17
Кормление
Краснаямгадюка 2 сезон
сильвания фэмили реклама
Universal 2013 in zoopals
Сутінки 2
Красная гадюка 5часть
Переходный
Handy manny Russisch
Новини