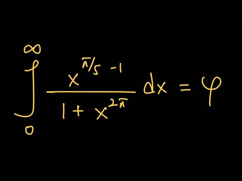
Another beast of an integral laid to rest by the sword of Feynman!!! The solution development is absolutely gorgeous and the result is surprisingly satisfying.
Another beast of an integral laid to rest by the sword of Feynman!!! The solution development is absolutely gorgeous and the result is surprisingly satisfying.