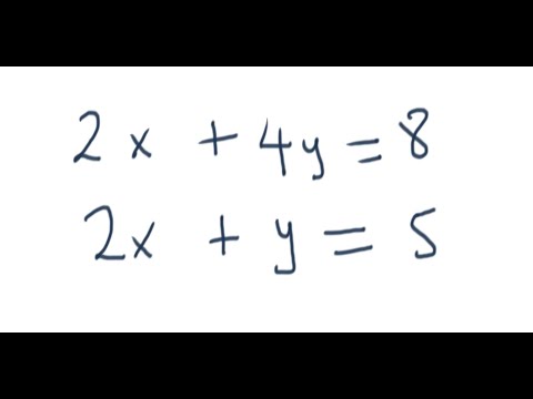
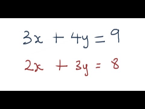
Unlock the Substitution Method in just 5 minutes! This quick and informative video tutorial will teach you the essentials of this problem-solving technique. this video is perfect for students and anyone looking to boost their math skills, this video offers a fast-track to mastering the Substitution Method.











