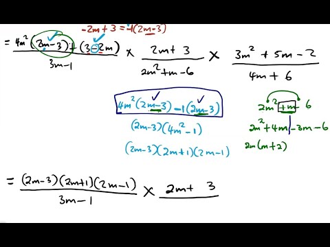
Learn the remainder theorem for your Mathematics N3 To get more resources and support to prepare for your final exams click on the links below:
Learn the remainder theorem for your Mathematics N3 To get more resources and support to prepare for your final exams click on the links below: