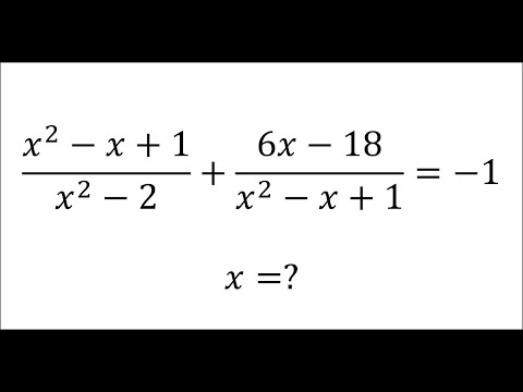
In this math video I (Susanne) explain how to solve the fractional equation. We solve for x by multiplying by the denominator and applying the quadratic formula. Mathematics explained. 00:00 Intro – Fractional equations 0:16 How to solve 2:12 Quadratic equation 4:55 Check solution 6:04 See you later! *My German Math Channel:* @MathemaTrick *Find me on Instagram:* *Buy Me a Cup of Hot Chocolate?* ☕🍫 Creating these math tutorials takes a lot of brainpower and a warm cup of hot chocolate always helps! If you'd like to support my work and keep the tutorials coming, consider treating me to a virtual cup. 👉 Thank you so much for your kindness! It means the world to me! #maths #learning #equation











