Войти
Головна
Моніторінг сайтів
Порівняння текстів
QR Code геніратор
Дозвілля
Блоги
Аудіо Архів
Відео Архів
Статті Архів
ТВ Онлайн
Радіо Онлайн
Завантажити
Документація
Фото архів
Новини
33+
Для рекламодавців
Контакти
Відгуки
18946
Просмотров
1 десятилетие назад
Опубликовано
TheDigitalUniversity
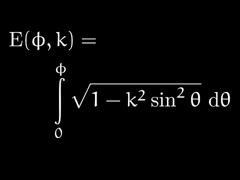
Elliptic Functions: Introduction
All PLAYLISTS at Web Site:
Похожее видео
Повний еліптичний інтеграл…
Everything YOU Need to Know about the Mellin Transform:…
Інтуїція еліптичної функції…
Pillai "Simple Pendulum and Elliptic Integral Corrections -…
Intro to Jacobi Elliptic Functions 8 хвилин і 39 секунд
Hypergeometric functions and Elliptic Integrals -- Part 1 15 хвилин
Elliptic Integrals and Elliptic Functions, a brief history…
Elliptic Curve Diffie Hellman 17 хвилин
цілі точки на кривих Морделла 23 хвилини
Lecture-10 Quantum Mechanics - Feynman Path…
Lecture 9: Introduction to Jacobian elliptic functions 27 хвилин
Elliptic Functions | Complex Analysis | Urdu Hindi 9 хвилин
Популярное
три
Universal picturesworkingtitie nanny McPhee
RafałBrzozowski
Красный тарантул 3 часть
смешарики чиполлино
Аладдин
Красная годюка 5 часть
Mufasa the lion king shaju
ending 4134
томас и его друзья тоби
Городской снайпер 1 серия
барбоскины выпуск 8 диск
2х2 лёлик и барбарики
вместе навсегда фильм
n-31-2000
мода из комода
беззаконник 3
Заставки Тижи TiJi
Черная химера
Городской снайпер 2 серия
the super tall order
C p
Кормление грудью
Новини