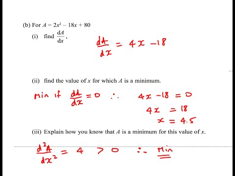
Worked solutions on some new parts of the IGCSE Cambridge 0580 syllabus. Content includes how to solve simultaneous equations when you have one linear and one quadratic, how to complete the square to find maximum and minimum points, and expanding triple brackets.











