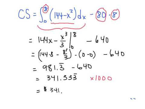
This video goes through the procedure and formula on how to solve for the consumer, producer, and social surpluses. Created by Justin S. Eloriaga Website:
This video goes through the procedure and formula on how to solve for the consumer, producer, and social surpluses. Created by Justin S. Eloriaga Website: