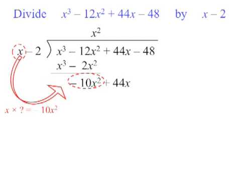
How to factorise a cubic function using long division. To see the other method (the "kx" method), view my other video.